Home / Publications / NON-SEQUENTIAL DOUBLE IONIZATION OF THE ALKALINE EARTH ATOMS WITH A NEAR-SINGLE CYCLE LASER PULSE IN A LINEARLY POLARIZED LASER FIELD

NON-SEQUENTIAL DOUBLE IONIZATION OF THE ALKALINE EARTH ATOMS WITH A NEAR-SINGLE CYCLE LASER PULSE IN A LINEARLY POLARIZED LASER FIELD

V. Petrović 1
V. Petrović
I. Petrović 2
I. Petrović
2 Academy of Professional Studies Šumadija, Department in Kragujevac Kragujevac, Serbia
Published 2023-10-04
Share
Cite this
GOST
 | 
Cite this
GOST Copy
Delibašić H., Petrović V., Petrović I. NON-SEQUENTIAL DOUBLE IONIZATION OF THE ALKALINE EARTH ATOMS WITH A NEAR-SINGLE CYCLE LASER PULSE IN A LINEARLY POLARIZED LASER FIELD // Journal of Experimental and Theoretical Physics. 2023. Vol. 165. No. 2. pp. 184-188.
GOST all authors (up to 50) Copy
Delibašić H., Petrović V., Petrović I. NON-SEQUENTIAL DOUBLE IONIZATION OF THE ALKALINE EARTH ATOMS WITH A NEAR-SINGLE CYCLE LASER PULSE IN A LINEARLY POLARIZED LASER FIELD // Journal of Experimental and Theoretical Physics. 2023. Vol. 165. No. 2. pp. 184-188.
RIS
 | 
Cite this
RIS Copy
TY - JOUR
DO - 10.31857/S00444510240204e2
UR - https://jetp.colab.ws/publications/10.31857/S00444510240204e2
TI - NON-SEQUENTIAL DOUBLE IONIZATION OF THE ALKALINE EARTH ATOMS WITH A NEAR-SINGLE CYCLE LASER PULSE IN A LINEARLY POLARIZED LASER FIELD
T2 - Journal of Experimental and Theoretical Physics
AU - Delibašić, Hristina
AU - Petrović, V.
AU - Petrović, I.
PY - 2023
DA - 2023/10/04
PB - Nauka Publishers
SP - 184-188
IS - 2
VL - 165
ER -
BibTex
 | 
Cite this
BibTex (up to 50 authors) Copy
@article{2023_Delibašić,
author = {Hristina Delibašić and V. Petrović and I. Petrović},
title = {NON-SEQUENTIAL DOUBLE IONIZATION OF THE ALKALINE EARTH ATOMS WITH A NEAR-SINGLE CYCLE LASER PULSE IN A LINEARLY POLARIZED LASER FIELD},
journal = {Journal of Experimental and Theoretical Physics},
year = {2023},
volume = {165},
publisher = {Nauka Publishers},
month = {Oct},
url = {https://jetp.colab.ws/publications/10.31857/S00444510240204e2},
number = {2},
pages = {184--188},
doi = {10.31857/S00444510240204e2}
}
MLA
Cite this
MLA Copy
Delibašić, Hristina, et al. “NON-SEQUENTIAL DOUBLE IONIZATION OF THE ALKALINE EARTH ATOMS WITH A NEAR-SINGLE CYCLE LASER PULSE IN A LINEARLY POLARIZED LASER FIELD.” Journal of Experimental and Theoretical Physics, vol. 165, no. 2, Oct. 2023, pp. 184-188. https://jetp.colab.ws/publications/10.31857/S00444510240204e2.
Views / Downloads
1 / 54

Abstract

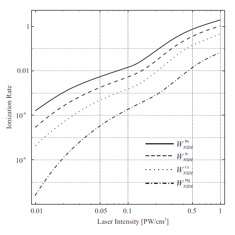
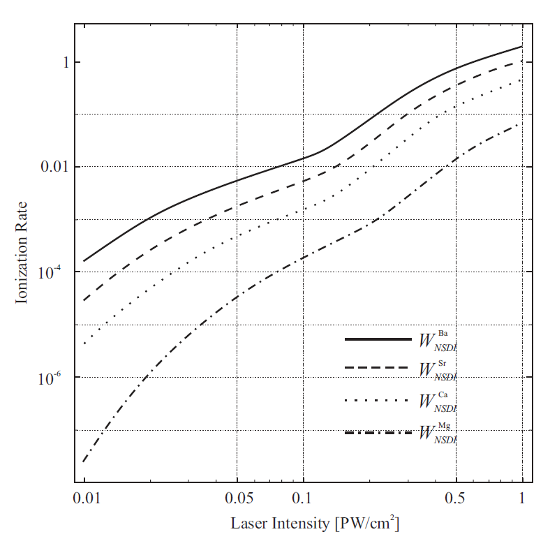
In this paper, we developed an analytical model to study non-sequential double ionization (NSDI) induced by electron-electron correlation of alkaline earth atoms by 800 nm laser. The presented model includes all relevant interactions between the electrons and the laser field. We focused on the semiclassical regime, where the assistance of laser radiation is mandatory to create a doubly charged ion. The obvious advantage of our model is that it provides time-resolved insights into the complex dynamics of NSDI from the initial to the final stages. After an extensive study, it was concluded that the observed phenomenon can be generally understood within single ionization and recollision picture. Presented results may shed light on attosecond dynamics of electron correlation during NSDI.

The bibliography includes 20 references.

[1-20]

References

1.
Z. X. Lei, Q. Y. Xu, Z. J. Yang, Y. L. He, and J. Guo, Chin. Phys. B. 31, 063202 (2022).
2.
S. L. Haan, L. Breen, A. Karim, and J. H. Eberly, Opt. Express. 15, 767 (2007).
3.
B. HuP, J. Liu, and S. Chen, Phys. Lett. A 236, 533 (1997).
4.
V. V. Suran and I. P. Zapesochny, Sov. Tech. Phys. Lett. 1, 2 (1975).
5.
F. Mauger, C. Chandre, and T. Uzer, J. Phys. B: At. Mol. Opt. Phys. 42, 165602 (2009).
6.
L. Sarkadi, J. Phys. B: At. Mol. Opt. Phys. 53, 165401 (2020).
7.
X. M. Ma, A. H. Tong, Z. Wang, and C. Y. Zhai, Chin. Phys. B. 30, 123402 (2021).
8.
S. Augst, A. Talebpour, S. L. Chin, Y. Beaudoin, and M. Chaker, Phys. Rev. A 52, R917 (1995).
9.
L. B. Fu, G. G. Xin, D. F. Ye, and J. Liu, Phys. Rev. Lett. 108, (2012).
10.
Y. Li, B. Yu, Q. Tang, X. Wang, D. Hua, A. Tong, C. Jiang, G. Ge, Y. Li, and J. Wan, Opt. Express 24, 6469 (2016).
11.
P. B. Corkum, Phys. Rev. Lett 71(13), 1994 (1993).
12.
R. Lafon, J. L. Chaloupka, B. Sheehy, P. M. Paul, P. Agostini, K. C. Kulander, and L. F. DiMauro, Phys. Rev. Lett 86, 2762 (2001).
13.
W. Becker, X. Liu, P. J. Ho, and J. H. Eberly, Rev. Mod. Phys. 84, 1011 (2012).
14.
Y. Liu, S. Tschuch, M. Durr, A. Rudenko, R. Moshammer, J. Ullrich, M. Siegel, and U. Morgner, Opt. Express 15, 18103 (2007).
15.
A. S. Johnson, A. Staudte and D. M. Villeneuve, Chinese J. Phys. 52, 329 (2014).
16.
D. I. Bondar, W. K. Liu, and M. Yu. Ivanov, Phys. Rev. A 79(2), (2009).
17.
X. M. Tong and C. D. Lin, J. Phys. B 38(15), 2593- 2600 (2005).
18.
Y. Li, L. Mei, H. Chen, J. Xu, Q. Tang, Y. Zhao, Q. Han, C. Wang, A. Tong, G. Ge, and B. Yu, Int. J. Mod. Phys. B 32, 1850302 (2018).
19.
V. M. Petrovic and T. B. Miladinovic, JETP 122, 813 (2016).
20.
H. P. Kang, S. Chen, W. Chu, J. P. Yao, J. Chen, X. J. Liu, Y. Cheng, and Z. Z. Xu, Opt. Express 28, 19325 (2020).