Home / Publications / MAGNETOELECTRIC EXCITATION OF RESONANCE TRANSITIONS IN THE ELECTRON SPIN SYSTEM OF IMPURITY 167Er IONS IN YTTRIUM ORTHOSILICATE (Y2SiO5)

MAGNETOELECTRIC EXCITATION OF RESONANCE TRANSITIONS IN THE ELECTRON SPIN SYSTEM OF IMPURITY 167Er IONS IN YTTRIUM ORTHOSILICATE (Y2SiO5)

V.F. Tarasov 1
V.F. Tarasov
N.K. Solovarov 1
N.K. Solovarov
A. A. Sukhanov 1
A. A. Sukhanov
Yu.D. Zavartsev 2
Yu.D. Zavartsev
Published 2023-10-21
Share
Cite this
GOST
 | 
Cite this
GOST Copy
Tarasov V. et al. MAGNETOELECTRIC EXCITATION OF RESONANCE TRANSITIONS IN THE ELECTRON SPIN SYSTEM OF IMPURITY 167Er IONS IN YTTRIUM ORTHOSILICATE (Y2SiO5) // Journal of Experimental and Theoretical Physics. 2023. Vol. 165. No. 2. pp. 240-246.
GOST all authors (up to 50) Copy
Tarasov V., Solovarov N., Sukhanov A. A., Zavartsev Y. MAGNETOELECTRIC EXCITATION OF RESONANCE TRANSITIONS IN THE ELECTRON SPIN SYSTEM OF IMPURITY 167Er IONS IN YTTRIUM ORTHOSILICATE (Y2SiO5) // Journal of Experimental and Theoretical Physics. 2023. Vol. 165. No. 2. pp. 240-246.
RIS
 | 
Cite this
RIS Copy
TY - JOUR
DO - 10.31857/S00444510240210e9
UR - https://jetp.colab.ws/publications/10.31857/S00444510240210e9
TI - MAGNETOELECTRIC EXCITATION OF RESONANCE TRANSITIONS IN THE ELECTRON SPIN SYSTEM OF IMPURITY 167Er IONS IN YTTRIUM ORTHOSILICATE (Y2SiO5)
T2 - Journal of Experimental and Theoretical Physics
AU - Tarasov, V.F.
AU - Solovarov, N.K.
AU - Sukhanov, A. A.
AU - Zavartsev, Yu.D.
PY - 2023
DA - 2023/10/21
PB - Nauka Publishers
SP - 240-246
IS - 2
VL - 165
ER -
BibTex
 | 
Cite this
BibTex (up to 50 authors) Copy
@article{2023_Tarasov,
author = {V.F. Tarasov and N.K. Solovarov and A. A. Sukhanov and Yu.D. Zavartsev},
title = {MAGNETOELECTRIC EXCITATION OF RESONANCE TRANSITIONS IN THE ELECTRON SPIN SYSTEM OF IMPURITY 167Er IONS IN YTTRIUM ORTHOSILICATE (Y2SiO5)},
journal = {Journal of Experimental and Theoretical Physics},
year = {2023},
volume = {165},
publisher = {Nauka Publishers},
month = {Oct},
url = {https://jetp.colab.ws/publications/10.31857/S00444510240210e9},
number = {2},
pages = {240--246},
doi = {10.31857/S00444510240210e9}
}
MLA
Cite this
MLA Copy
Tarasov, V.F., et al. “MAGNETOELECTRIC EXCITATION OF RESONANCE TRANSITIONS IN THE ELECTRON SPIN SYSTEM OF IMPURITY 167Er IONS IN YTTRIUM ORTHOSILICATE (Y2SiO5).” Journal of Experimental and Theoretical Physics, vol. 165, no. 2, Oct. 2023, pp. 240-246. https://jetp.colab.ws/publications/10.31857/S00444510240210e9.
Views / Downloads
1 / 39

Keywords

electron spin resonance
Er3+
quadrupole resonance
Y2SiO5

Abstract

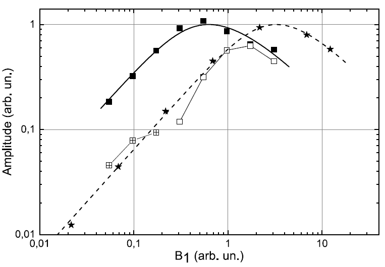
Study of continuous wave electron paramagnetic resonance spectra of impurity erbium ions in yttrium orthosilicate Y2SiO5 on an ELEXSYS spectrometer with a dielectric resonator reveals unusual dependence of the shape of the resonance lines on the intensity of microwave excitation. At a relatively high intensity and partial saturation of the resonance transition, the shape of the line is a superposition of a usual line corresponding to the derivative of the resonant absorption and an anomalous line corresponding to the resonance absorption itself. It is proposed that the appearance of the anomalous component of the line is associated with the simultaneous excitation of magnetic dipole and electric quadrupole transitions in the coupled system of magnetic dipole and electric quadrupole oscillators of the electron spin system of erbium ions.

The bibliography includes 51 references.

[1-51]

References

1.
C.W. Thiel, T. Böttger, R. L. Cone, J. Lumin. 131, 353 (2011).
2.
J.J.L. Morton, P. Bertet, J. Magn. Reson. 287, 128 (2018).
3.
M. Rančić, M.P. Hedges, R.L. Ahlefeldt et al., Nature Physics 14, 50 (2018).
4.
M. Businger, A. Tiranov, K. T. Kaczmarek et al., Phys. Rev. Lett. 124, 053606 (2020).
5.
A. Ortu, A. Tiranov, S. Welinski et al., Nature Materials 17, 671 (2018).
6.
J.J. Longdell, E. Fraval, M. J. Sellars et al., Phys. Rev. Lett. 95, 063601 (2005).
7.
E. Fraval, M. J. Sellars, and J. J. Longdell, Phys. Rev. Lett. 92, 077601 (2004).
8.
G.A. Álvarez, A. Ajoy, X. Peng and D. Suter, Phys. Rev. A 82, 042306 (2010).
9.
M.A.A. Ahmed, G. A. Álvarez, and D. Sute, Phys. Rev. A 87, 042309 (2013).
10.
F. Bloch, Nuclear Induction, Phys. Rev. 70, 460-474 (1946).
11.
A. Abragam, B. Bleaney, Electron Paramagnetic Resonance of Transition ions, Clarendon Press, Oxford, (1970).
12.
U. Fano, Phys. Rev. 133, B828 (1964).
13.
R.C. Hilborn, L. R. Hunter, K. Johnson et al., Phys. Rev. A 50, 2467 (1994).
14.
R. Wieser, Phys. Rev. B 84, 054411 (2011).
15.
H.-J. Stöckmann, D. Dubbers, New J. Phys. 16, 053050 (2014).
16.
J. D. Macomber, The Dynamics of Spectroscopic Transitions, Wiley, New York, London, Sydney, Toronto, 1976, ch. 3.
17.
G. Wolfowicz, H. Maier-Flaig, R. Marino et al., Phys. Rev. Lett. 114, 170503 (2015).
18.
S. Welinski, A. Ferrier, M. Afzelius et al., Phys. Rev. B 94, 155116 (2016).
19.
H.-J. Lim, S. Welinski, A. Ferrier et al., Phys. Rev. B 97, 064409 (2018).
20.
G. Dold, C. W. Zollitsch, J. O’Sullivan et al., Phys. Rev. Applied 11, 054082 (2019).
21.
M.N. Popova, S. A. Klimin, S. A. Moiseev et al., Phys. Rev. B 99, 235151 (2019).
22.
A.A. Sukhanov, V. F. Tarasov, R. M. Eremina et al., Appl. Magn. Reson. 48, 589 (2017).
23.
A.A. Sukhanov, V. F. Tarasov, Yu.D. Zavartsev et al., JETP Letters 108, 210 (2018).
24.
R.M. Eremina, V.F. Tarasov, K. B. Konov et al., Appl. Magn. Reson., 49, 53 (2018).
25.
R.F. Likerov, V. F. Tarasov, A. A. Sukhanov et al., Optical Materials 85, 414 (2018).
26.
R.F. Likerov, V. F. Tarasov, A. A. Sukhanov et al., Magn. Reson. Solids 22, 20201(2020).
27.
O. Guillot-Noël, Ph. Goldner, and Y. Le Du, Phys. Rev. B 74, 214409 (2006).
28.
O. Guillot-Noël, H. Vezin et al., Phys. Rev. B 76, 180408(2007).
29.
S. Welinski, C. W. Thiel, J. Dajczgewand et al., Optical Materials 63, 69 (2017).
30.
S. Welinski, Ph.J.T. Woodburn, N. Lauk et al., Phys. Rev. Lett. 122, 247401 (2019).
31.
Y-H. Chen, X. Frnandez-Gonzalvo, S. P. Horvath et al., Phys. Rev. B 97, 024419 (2018).
32.
J.-Y. Huang, P. Y. Li, Z-Q. Zhou, at al., Phys. Rev. B 105, 245134 (2022).
33.
B.A. Maksimov, Yu.A. Kharitonov, V. V. Ilyukhin et al., Proceedings of the Academy of Sciences 183, 1072 (1968).
34.
S. Campos, A. Denoyer, S. Jandl et al., J. Phys.: Condens. Matter 16, 4579 (2004).
35.
Y. Sun, T. Böttger, C. W. Thiel et al., Phys. Rev. B 77, 085124 (2008).
36.
N.L. Jobbitt, J.-P.R. Wells, M. F. Reid et al., Phys. Rev. B 104, 155121 (2021).
37.
S. Stoll, A. Schweiger, J. Magn. Reson. 178, 42 (2006).
38.
E.L. Wolf, Phys. Rev. 142, 555 (1966).
39.
A.V. Astashkin and A. Schweiger, Chem. Phys. Letters 174, 595 (1990).
40.
K.M. Salihov, JETP 162, 630 (2022).
41.
J.L. Harthoorn, J. Smidt, Appl. Sci. Res. 20, 148 (1969).
42.
V.F. Tarasov, R. B. Zaripov, N. K. Solovarov, A. A. Sukhanov, E. V. Zharikov, JETP Letters, 93, 282 (2011).
43.
V.F. Tarasov, R. B. Zaripov, N. K. Solovarov et al., Appl. Magn. Reson. 45, 239 (2014).
44.
V.F. Tarasov, A. A. Sukhanov, V. B. Dudnikova at al., JETP Letters, 106, 78 (2017).
45.
I.N. Kurkin, K. P. Chernov, Physica B+C 101, 233 (1980).
46.
M. Akaki, D. Yoshizawa, A. Okutani, T. Kida, J. Romhányi, K. Penc, M. Hagiwara, Phys. Rev. B 96, 214406 (2017).
47.
I.I.Sadykov, E. P. Khaimovich, JETP Letters, 34 441 (1981).
48.
N. E. Brun, R. J. Mahler, H. Mahon, W. L. Pierce, Phys. Rev. 129, 1965-1970, (1963).
49.
W.G. Proctor, W. A. Robinson, Phys. Rev. 104, 1344 (1956).
50.
V.A. Golenischev-Kutusov, N. K. Solovarov, V. F. Tarasov, JETP Letters, 22, 266 (1975).
51.
V.A. Golenischev-Kutusov, A. I. Sirasiev, N. K. Solovarov, V. F. Tarasov, JETP, 71, 1074 (1976) [in Russian].