Home / Publications / FERROMAGNETIC ORDER IN VAN-DER WAALS COMPOUND Fe3GeTe2

FERROMAGNETIC ORDER IN VAN-DER WAALS COMPOUND Fe3GeTe2

Share
Cite this
GOST
 | 
Cite this
GOST Copy
Men`shenin V. FERROMAGNETIC ORDER IN VAN-DER WAALS COMPOUND Fe3GeTe2 // Journal of Experimental and Theoretical Physics. 2023. Vol. 165. No. 3. pp. 390-397.
GOST all authors (up to 50) Copy
Men`shenin V. FERROMAGNETIC ORDER IN VAN-DER WAALS COMPOUND Fe3GeTe2 // Journal of Experimental and Theoretical Physics. 2023. Vol. 165. No. 3. pp. 390-397.
RIS
 | 
Cite this
RIS Copy
TY - JOUR
DO - 10.31857/S00444510240308e5
UR - https://jetp.colab.ws/publications/10.31857/S00444510240308e5
TI - FERROMAGNETIC ORDER IN VAN-DER WAALS COMPOUND Fe3GeTe2
T2 - Journal of Experimental and Theoretical Physics
AU - Men`shenin, V.V.
PY - 2023
DA - 2023/09/07
PB - Nauka Publishers
SP - 390-397
IS - 3
VL - 165
ER -
BibTex
 | 
Cite this
BibTex (up to 50 authors) Copy
@article{2023_Men`shenin,
author = {V.V. Men`shenin},
title = {FERROMAGNETIC ORDER IN VAN-DER WAALS COMPOUND Fe3GeTe2},
journal = {Journal of Experimental and Theoretical Physics},
year = {2023},
volume = {165},
publisher = {Nauka Publishers},
month = {Sep},
url = {https://jetp.colab.ws/publications/10.31857/S00444510240308e5},
number = {3},
pages = {390--397},
doi = {10.31857/S00444510240308e5}
}
MLA
Cite this
MLA Copy
Men`shenin, V.V.. “FERROMAGNETIC ORDER IN VAN-DER WAALS COMPOUND Fe3GeTe2.” Journal of Experimental and Theoretical Physics, vol. 165, no. 3, Sep. 2023, pp. 390-397. https://jetp.colab.ws/publications/10.31857/S00444510240308e5.
Views / Downloads
3 / 18

Keywords

ferromagnetic order
phase transition
strong electron correlations
van der Waals compound

Abstract

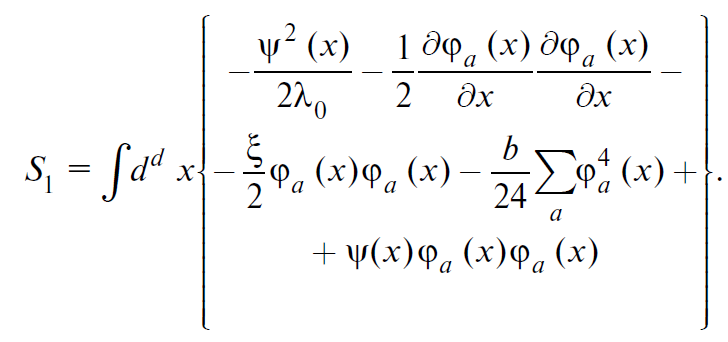
The phase transition from the paramagnetic to the ferromagnetic phase in a van der Waals volume Fe3GeTe2 compound was studied. A renormalization group approach was used, the action for which was constructed using group theoretical analysis to determine the irreducible representation of the spatial group responsible for this transition, in the case of magnetic moments localized on iron. It is shown that such a representation exists, which allows the orientation of magnetic moments along the c axis of the crystal. The influence of vacancies in one of the iron positions on this transition was considered using replica method by analogy with the description of frozen impurities. Power law of change magnetization was found near the transition taking into account the presence of vacancies. A condition has been determined when vacancies are pressure this transition. Possible influence of strong electron correlations and free electrons on the stability of the ferromagnetic phase was analyzed using the t–J model for non-degenerate electrons. In the generalized random phase approximation, the additional contribution of free electrons to the formation of long-range ferromagnetic order occurs through Pauli susceptibility gas of free electrons. The condition for the stability of the ferromagnetic state in this case was written out.

The bibliography includes 25 references.

[1-25]

References

1.
H. -J. Deiseroth, K. Aleksandrov, C. Reiner et al., Eur. J. Inorg.Chem. 2006 (8), 1561 (2006).
2.
H. L. Zhuang, P. R.C. Kent, Phys.Rev.B 93, 134407 (2016).
3.
A. F. May, S. Calder, C. Cantoni et al., Phys. Rev.B 93, 014411 (2016).
4.
International Tables for Crystallography, Vol.A. Space Group Symmetry, ed. by T. Hahn, Springer (2002).
5.
Yu.A. Izjumov, M. I. Katsnelson, Yu. N. Skrjabin. Magnetism of itinerant electrons, Fizmatlit, Moscow (1994) ( in Russian)
6.
X. Bai and F. Lecherman, Phys.Rev.B 106, L180409 (2022).
7.
X. Xu, Y. W. Li, S. R. Duan et al., Phys.Rev.B 101, 201104 (R) (2020).
8.
J. -X. Zhu, N. Janoschek, D. S. Chaves et al., Phys. Rev.B 93, 144404 (2016).
9.
Y. Deng, Y. Yu, Y. Song et al., Nature (London) 563, 94 (2018).
10.
Y. Zhang, H. Lu, X. Zhy et al., Sci.Adv., 4, eaao6791 (2018).
11.
K. Kim, J. Seo, E. Lee et al., Nat.Mater. 17, 794 (2018).
12.
M. Zhao, B. -B. Chen, Y. Xi et al., Nano Lett. 21 \, 6117 (2021).
13.
B. Chen, J. Yang, H. Wang et al., J.Phys. Soc. Jpn. 82, 124711 (2013).
14.
Yu.A. Izjumov, V. E. Naish, R. P. Ozerov, Neutronography of magnets, Atomizdat, Moscow,(1981) (in Russian)
15.
O.V. Kovalev, Irreducible and induced representations and co-representations of Fedorov groups, Nauka, Moscow (1986) (in Russian)
16.
Yu.I. Sirotin, M. P. Shaskolskaya, Fundamentals of crystal physics, Nauka, Moscow (1979). (in Russian)
17.
V.V. Men`shenin, FMM 115, 1057 (2014).
18.
A.N. Vasiliev, Quantum field renormalization group in the theory of critical behavior and stochastic dynamics, Publishing House PNPI, St. Petersburg (1998) ( in Russian)
19.
K.G. Wilson and M. Fisher, Phys.Rev. Lett. 28 240 (1972).
20.
Sh. Ma, Modern theory of critical phenomena, W.A. Benjamin. Inc. (1976)
21.
A.B. Harris and T.C. Lubensky, Phys.Rev. Lett. 33, 1540 (1974).
22.
D.E. Khmelnitsky. JETP. 68, 1960 (1975).
23.
B.N. Shalaev, JETP 73, 2301 (1977).
24.
J.M. Ziman, Principles of the Theory of Solids, Мir, Moscow (1974).
25.
V.Yu. Irkhin, Yu. P. Irkhin, Electronic structure, physical properties and correlation effects in d- and f-metals and their compounds, Ekaterinburg (2004)